瞬时弹性成像和声辐射力脉冲成像对酒精性肝纤维化的诊断价值
黄斌 , 刘芳 , 等 . 浙江实用医学 2017 年 6 月第 22 卷第 3 期
研究目的
•比较 FibroTouch 和 ARFI 对酒精性肝纤维化程度的诊断价值。
研究方法
•收集酒精性肝病患者 105 例;
•肝穿刺活检病理结果为金标准,FibroTouch 检测肝脏硬度 LSM 值,ARFI 检测肝脏剪切波速度VTQ 值;
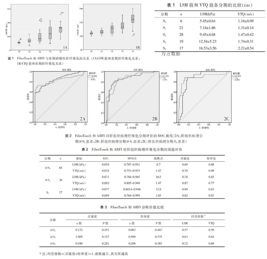
•探讨 FibroTouch 和 ARFI 与各期酒精性肝纤维化的关系,利用 ROC 曲线分析两种检测方法对酒精性肝纤维化程度的诊断价值。
研究图表

研究结果
•随着肝纤维化程度的增加,LSM 和 VTQ 值均呈升高趋势,但 LSM 值(P = 0.258)和 VTQ 值(P = 0.436)在 S0 与 S1 期间差异无统计学意义(P > 0.05)。
•ARFI 和 FibroTouch 两种无创技术诊断以上各分期中的肝硬化程度差异均无统计学意义(均 P > 0.05)。
研究结论
•FibroTouch 和 ARFI 检测对无创定量评价酒精性肝纤维化程度的诊断价值一致,均可以有效评估酒精性肝纤维化程度。
如果您需更多文献资料
请联系我们
请联系我们